Outline:
If you’ve ever questioned why older women desirePierce Brosnan while younger ladies prefer Zac Efron, scientists have now found the solution.
In a research project, specialists have uncovered the key qualities that women of various age groups consider most appealing in a romantic partner.
Scientists invited 122 Polish women, aged from 19 to 70, to evaluate a variety of images of men.
They had been modified digitally to display different levels of facial masculinity, beard presence, body type, and muscularity.
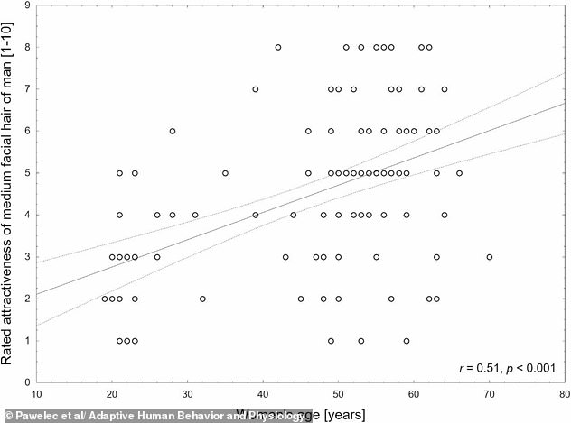
Analysis, released in the journalAdaptable Human Behavior and Physical Characteristics, showed different trends based on their age.
A study revealed that older women are more drawn to men with thicker beards and a leaner physique compared to younger women.
Postmenopausal women, in particular, found feminine characteristics and a V-shaped figure to be less appealing than women at different stages of life.
This might clarify why mothers and daughters can have such different preferences in terms of who they consider attractive.

The scientists mentioned that variations in preference might indicate characteristics that are valued during specific stages of life.
Women in their childbearing years might favor muscular builds as they symbolize physical health and power.
As people age, worries about reproduction decrease and a more slender physique—possibly signaling good health—becomes more attractive.
Beards, on the other hand, are often associated with maturity and rank, which older women might value more.
“Notable variations in women’s evaluations were identified,” the group from Wroclaw Medical University stated.
Regarding physical appeal, this research revealed that older women found medium to full beards more appealing than younger women.
Although increased facial hair could boost the perception of a man’s masculinity, age, and possible reproductive success, it might also indicate reduced emotional bonding and lesser involvement in raising children.
Hence, older women, who might not emphasize fertility-related characteristics because of the decline in reproductive functions during menopause, could instead focus on actions linked to obtaining resources or achieving social power.



Furthermore, beards are associated with aging, which may be more attractive to older women.
They mentioned that having a strong physique might indicate a capacity to transmit genetic advantages to offspring, along with offering security for the family.
For younger women, this could correspond to the qualities they seek in a long-term partner for starting a family.
‘Nevertheless, as women grow older, characteristics that indicate hostility and fertility might lose their importance,’ they wrote.
Among older women experiencing a decline or having already experienced a reduction in ovarian function, slight muscle tone may indicate good health and friendliness, while more pronounced muscularity might be seen as threatening.
The group mentioned that their findings support the ‘grandmother hypothesis,’ which suggests that as women grow older, they shift their focus from seeking a partner to assisting in raising grandchildren and aiding the family.
At this stage in their lives, women are less inclined to search for partners with the most favorable reproductive genetics and are more interested in someone who is steady and dependable.
A recent surveyAmong 2,500 British women, it was discovered that seven out of ten favor a man with facial hair compared to one with a well-defined body.
The distinctive mustache, featured on Hollywood actor Pedro Pascal, secured the highest position with over 20% of the votes.
In the meantime, the clean-shaven style has officially fallen out of trend, scoring a poor nine out of 10.
“The era where a six-pack is considered the top attraction is quickly coming to an end,” said Sylvia Linzalone, a relationship specialist from Wisp.
Facial hair adds immediate personality to a man – it conveys self-assurance, experience, and a touch of enigma. Women are seeking genuine traits rather than just looks.
Read more
- What could be the reasons behind younger men gaining more advantages from facial hair? Discover the mysteries of why stubble is considered the most appealing and reliable for them!
- Is a strong beard now more appealing to UK women than a six-pack?
- Are classic standards of beauty changing? Find out why men with ‘additional body fat’ could hold an evolutionary advantage!
- What could be the reason older men might not experience the appealing charm that comes with a well-groomed beard?
- Has the long-standing notion that youth equates to attractiveness in relationships been proven wrong? A new study shows that serious singles are more attracted to older partners!
